留学群专题频道计算公式栏目,提供与计算公式相关的所有资讯,希望我们所做的能让您感到满意!
04-21
相信谁都不想看到自己负债的那一天,但是有些现实,我们还是要去接受的,资产负债率计算公式有没有了解过呢?现在我们留学群的小编就带你们去了解一下,感兴趣的朋友们快过来围观哦。
资产负债率=负债总额/资产总额×100%
1、负债总额:指公司承担的各项负债的总和,包括流动负债和长期负债。
2、资产总额:指公司拥有的各项资产的总和,包括流动资产和长期资产。
资产负债率是衡量企业负债水平及风险程度的重要标志。它包含以下几层含义:
①资产负债率能够揭示出企业的全部资金来源中有多少是由债权人提供。
②从债权人的角度看,资产负债率越低越好。
③对投资人或股东来说,负债比率较高可能带来一定的好处。(财务杠杆、利息税前扣除、以较少的资本(或股本)投入获得企业的控制权)。
④从经营者的角度看,他们最关心的是在充分利用借入资金给企业带来好处的同时,尽可能降低财务风险。
⑤企业的负债比率应在不发生偿债危机的情况下,尽可能择高。
判断资产负债率是否合理
要判断资产负债率是否合理,首先要看你站在谁的立场。资产负债率这个指标反映债权人所提供的负债占全部资本的比例,也被称为举债经营比率。
债权人的立场看
他们最关心的是贷给企业的款项的安全程度,也就是能否按期收回本金和利息。如果股东提供的资本与企业资本总额相比,只占较小的比例,则企业的风险将主要由债权人负担,这对债权人来讲是不利的。因此,他们希望债务比例越低越好,企业偿债有保证,则贷款给企业不会有太大的风险。
股东的角度看
由于企业通过举债筹措的资金与股东提供的资金在经营中发挥同样的作用,所以,股东所关心的是全部资本利润率是否超过借入款项的利率,即借入资本的代价。在企业所得的全部资本利润率超过因借款而支付的利息率时,股东所得到的利润就会加大。如果相反,运用全部资本所得的利润率低于借款利息率,则对股东不利,因为借入资本的多余的利息要用股东所得的利润份额来弥补。因此,从股东的立场看,在全部资本利润率高于借款利息率时,负债比例越大越好,否则反之。
企业股东常常采用举债经营的方式,以有限的资本、付出有限的代价而取得对企业的控制权,并且可以得到举债经营的杠杆利益。在财务分析中也因此被人们称为财务杠杆。
经营者的立场看
如果举债很大,超出债权人心理承受程度,企业就借不到钱。如果企业不举债,或负债比例很小,说明企业畏缩不前,对前途信心不足,利用债权人资本进行经营活动的能力很差。从财务管理的角度来看,企业应当审时度势,全面考虑,在利用资产负债率制定借入资本决策时,必须充分估计预期的利润和增加的风险,在二者之间权衡利害得失,作出正确决策。
好啦,关于资产负债率计算公式的文章内容,留学群的小编就先和你们讲解到这里了哦,更多相关内容,请登录我们官网查看哦。
推荐阅读:
什么是太阳高度角计算公式?这个对于大家来说是相当的陌生,今天就让留学群来给大家详细的讲解一下关于什么是太阳高度角以及太阳高度角计算公式,有需要的朋友进来看看吧。
太阳高度角,地理学术语,是指对地球上的某个地点太阳光入射方向和地平面的夹角。专业上讲,太阳高度角是指某地太阳光线与通过该地与地心相连的地表切面的夹角。当太阳高度角为90°时,太阳辐射强度最大;太阳斜射地面程度越大(即太阳高度角越小),太阳辐射强度就越小。
太阳高度角简称为“太阳高度”(其实是角度,不是高度)。太阳高度是决定地球表面获得太阳热能数量的最重要的因素。我们用h来表示这个角度,它在数值上等于太阳在地球地平坐标系中的地平高度。
1、一般时间:
太阳高度角随着地方时和太阳的赤纬的变化而变化。太阳赤纬(与太阳直射点纬度相等)以δ表示,观测地地理纬度用φ表示(太阳赤纬与地理纬度都是北纬为正,南纬为负),地方时(时角)以t表示,有太阳高度角的计算公式:sin h= sinφsinδ+cosφcosδcos t。
2、正午时间:
日升日落,同一地点一天内太阳高度角是不断变化的。时角是以正午12点为0度开始算,每一小时为15度。即14点和10点分别为30度和-30度。日出日落时角度都为0,正午时太阳高度角最大(90°),时角为0,以上的公式可以简化为:sin h=sinφsinδ+cosφcosδ。
由两角和与差的三角函数公式,可得sin h=cos(φ-δ),因此,对于太阳位于天顶以北的地区而言,h=90°-(φ-δ);对于太阳位于天顶以南的地区而言,h=90°-(δ-φ)。
因为无论是(φ-δ)还是(δ-φ),都是为了求当地纬度与太阳直射纬度之差,不会是负的,因此都等于它的绝对值,所以正午太阳高度角计算公式:h=90°-|φ-δ|。
以上就是给大家带来了关于太阳高度角计算公式内容,在计算太阳高度角的时候,大家一定要注意太阳高度变化规律。
推荐阅读:
...04-21
说起方差公式知识相信大家估计也是忘记的一干二净了吧,其实这个方差公式也是数学中最重要的一个计算公式,那么这个方差公式是怎么计算的呢?下面就让留学群告诉大家答案。
方差公式是一个数学公式,是数学统计学中的重要公式,应用于生活中各种事情,方差越小,代表这组数据越稳定,方差越大,代表这组数据越不稳定。方差的概念与计算公式,例如 两人的5次测验成绩如下:X: 50,100,100,60,50,平均值E(X)=72;Y:73, 70,75,72,70 平均值E(Y)=72。平均成绩相同,但X 不稳定,对平均值的偏离大。方差描述随机变量对于数学期望的偏离程度。单个偏离是消除符号影响方差即偏离平方的均值,记为E(X):直接计算公式分离散型和连续型。推导另一种计算公式得到:“方差等于各个数据与其算术平均数的离差平方和的平均数”。其中,分别为离散型和连续型计算公式。 称为标准差或均方差,方差描述波动程度。
方差是和中心偏离的程度,用来衡量一批数据的波动大小(即这批数据偏离平均数的大小)并把它叫做这组数据的方差,记作S^2。 在样本容量相同的情况下,方差越大,说明数据的波动越大,越不稳定。
1.若x1,x2....xn 的平均数为m,其方差是:S^2=1/n[(x1-m)^2+(x2-m)^2+.......+(xn-m)^2],标准差:S=√{1/n[(x1-m)^2+(x2-m)^2+.......+(xn-m)^2]};
2.若x1,x2....xn 其方差是:S²,则kx1,kx2.....kxn的方差为:k²S²;
3.若x1,x2....xn 其方差是:S²,则x1+a,x2+a,x3+a....xn+a的方差为:S²(没有改变),(k1,a是不为零的常数);
4.若x1,x2....xn 其方差是:S²,则kx1+a,kx2+a,kx3+a....kxn+a的方差为:k²S²;
以上就是给大家带来了关于方差公式的数学知识,如果你平时在学习中遇到很多难题的话,可以关注一下留学群,这个平台有许多超实用的知识分享给大家。
推荐阅读:
...04-21
世界上有各种各种的计算公式,你们都了解过哪几个呢?流动比率计算公式有没有去了解过呢?留学群的小编现在就带你们去了解一下,流动比率计算公式是指什么,大家可不要眨眼睛哦。
1、流动比率是流动资产与流动负债的比值,其计算公式为: 流动比率=流动资产/流动负债。
2、不同行业的流动比率有所不同。 一般认为,制造业合理的最低流动比率为2。 这是因为处于流动资产中变现能力最差的存货金额约占制造业流动资产总额的一半,剩下的流动性较大的流动资产至少要等于流动负债,企业的短期偿债能力才会有保证。 计算出来的流动比率,要与同1L平均比率、本企业历史的流动比率等进行比较,才能知道这个比率是高还是低。一般情况下,营业周期、流动资产中的应收账款和存货的周转速度是影响流动比率的主要因素。因此在分析流动比率时还要结合流动资产的周转速度和构成情况来进行。
3、流动比率计算公式=流动资产/流动负债X100%。
4、流动比率表示企业每一元流动负债有多少流动资产作为偿还的保证,反映企业可用在一年内变现的流动资产偿还流动负债的能力。该指标值越大,企业短期偿债能力越强,企业因无法偿还到期的流动负债而产生的财务风险越小。 但是,该指标过高则表示企业流动资产占用过多,可能降低资金的获利能力。
运用流动比率进行分析时需要注意什么
(1)流动比率高,一般认为偿债保证程度较强,但并不一定有足够的现金或银行存款偿债,因为流动资产除了货币资金以外,还有存货、应收帐款、待摊费用等项目,有可能出现虽说流动比率高,但真正用来偿债的现金和存款却严重短缺的现象,所以分析流动比率时,还需进一步分析流动资产的构成项目。
(2)计算出来的流动比率,只有和同行业平均流动比率、本企业历史流动比率进行比较,才能知道这个比率是高还是低。这种比较通常并不能说明流动比率为什么这么高或低,要找出过高或过低的原因还必须分析流动资产和流动负债所包括的内容以及经营上的因素。一般情况下,营业周期、流动资产中的应收账款和存货的周转速度是影响流动比率的主要因素。
需要记住的一点是,流动比率法对现金收、付的时间不作考虑。例如,一个公司今天没有一张应付账单,但是明天却有一大叠应付账单,同时它还拥有大量存货(部分流动资产),这些存货要经过长期才能售出,这个公司表现出来很好的流动比率,但事实上它的资产流动性却并不强。
流动比率计算公式是指什么?运用流动比率进行分析时需要注意什么?关于这些问题的相关答案,我们留学群的小编就先和你们讲解到这里了哦。
推荐阅读:
04-15
税率是大家最为熟悉的,无论是企业还是在职人员都是需要做的,那么税率计算公式是什么?今天就让留学群来给大家分享一下关于税率分类及计算方法,感兴趣的朋友进来看看吧。
税率是指纳税人的应纳税额与征税对象数额之间的比率,是法定的计算应纳税额的尺度。税率的高低直接关系到国家财政收入的多少和纳税人负担的轻重,体现了国家对纳税人征税的深度,是税收制度的核心要素。
税率计算公式具体如下:
1、应纳税额=当期销项税额-当期进项税额;
2、销项税额=销售额乘税率;
3、销售额=含税销售额除(1+税率)。
税率分类及计算方法:
1、增值税税率:小规模3%一般纳税人17%计算方法:销售收入(不含税)X税率。
2、营业税税率:无资质5%有资质3%计算方法:销售收入(不含税)X税率。
3、附加税:
(1)城建税:7%计算方法:增值税(营业税)税额X7%;
(2)教育费附加:3%计算方法:增值税(营业税)税额X3%;
(3)地方教育费附加:2%计算方法:增值税(营业税)税额X2%;
4、印花税:购销合同按购销金额的万分之三贴花;帐本按5元/本缴纳(每年启用时);年度按“实收资本”与“资本公积”之和的万分之五缴纳(第一年按全额缴纳,以后按年度增加部分缴纳)。
5、企业所得税:企业所得税要看企业是核定征收还是查账征收;
(1)查账征收:税率20%25%计算方法:应纳税额=利润X适用税率;
(2)核定征收:税率20%25%核定税率是专管员根据企业具体情况而核定的税率:7%、10%计算方法:应纳税额=应税销售额X核定所得率X适用税率列:销售额为10万,核定税率为7%,适用税率25%,那么企业所得税就是:10万X7%X25%=1750元;
6、发放工资代扣代缴个人所得税:税率表可在网上查到,2018年8月31日,修改个人所得税法的决定通过,起征点每月5000元,2018年10月1日起实施最新起征点和税率。
以上就是给大家带来了关于税率计算公式知识,每一种类型的税率的计算公式都是不一样的,所以大家在计算税率的时候一定要区分起来。
推荐阅读:
我们现在对于身材的要求都会非常高,要拥有一个健康的身体最重要的就是有一个标准的体重,我们可以在留学群上面搜索一下标准体重计算公式,然后再计算我们是否属于标准的体重。
标准体重是什么呢?其实标准体重是通过计算的方式来测量人体各项质量指数是否合乎理想,也是反应人体健康状况的标识。下面就来介绍一下标准体重的计算方法。根据世界卫生组织推荐的计算方法,男性标准体重计算方法为(身高cm-80)x70 %,女性标准体重计算方法为(身高cm-70)x60%。标准体重正负10%为正常体重,标准体重正负10% - 20%为体重过重或过轻,标准体重正负20%以上为肥胖或体重不足。还有一-种简单的算法是: 标准体重=自身身高-105,不过这种算法只适用于成年人。而儿童的身高多少会跟儿童发育的快慢有关,所以也不一定在标准的范围内才是健康的宝宝,希望在家长们悉心照料下健康的成长。其实关于标准体重的计算方法有很多种,简单的复杂的国际的通用的,大家仅作参考就好,不管符不符合标准体重都要爱惜身体,保持健康为主。
一胖百病来,身体太瘦或者太胖都是不正常的,太瘦就会出现营养不良,太胖就会出现“三高”,过胖和过瘦还会降低的身体的美感。
标准体重计算公式又称为BMI计算公式,一个健康人的正常BMI值范围应该是在:18.5~24之间,而标准体重只是一个相对的概念,并没有一个固定的数值,可以说BMI是一种相当简陋的健康评估方式,因为它没有考虑到身体的外观或机能表现等,虽然它对于宏观人口研究是个不错的工具,但对于个体而言并不适合。
由于标准体重(BMI)指数不会考虑男女性别、年龄因素,但是BMI只要超过24就是过重,超过28就是肥胖,然而正常情况下超过35岁的成年人体重应该比青少年重,这属于正常现象。
以上就是关于标准体重计算公式的相关内容,从上述内容的分享大家可以在公式内带入自己的身高体重等,然后注意自己的体重。建议大家可以了解一下留学群。
推荐阅读:
...01-19
每年都有很多人参加艺考,那么美术生高考分数的计算公式是什么?下面是由留学群编辑为大家整理的“美术生高考分数怎么算 计算公式是什么”,仅供参考,欢迎大家阅读本文。
美术生高考分数怎么算
是按照比例来计算的。
1.要看报考的学校录取原则。因为学校不同其算法也是完全不一样的,有的学校是文化分专业分的综合分来录取学生的,文化分和专业分的占比都是50%。而有的学校是文化分占比40%,而专业分的占比是60%。而有的学校是先按照文化分过了录取线,再通过专业分的高低来进行录取的。所以大家在选择时候,更好首先要判定一下自我的文化课分数是否有过线,是否有达到报考学校的分数线。
2.如果是艺术本科的话,是按照750满分进行计算,不同的专业类别,计算方式也是不同,比如说,美术、音乐类的,综合分等于考生总分乘以50%加上专业分乘以7.5乘以50%,又比如说舞蹈、影视表演的,综合分等于考生总分乘以40%加上专业分乘以7.5乘以60%,播音主持类则是综合分等于考生总分乘以80%加上专业分乘以7.5乘以20%,而摄制、编导类则是综合分等于考生总分乘以92%以上。同理,如果是专科的院校,则是以450分为基础,公式和以上是一样的,只要把7.5改成4.5即可。
高考美术生分数计算公式:
本科综合分以750分为满分计算:综合分=考生总分×50%+专业分×7.5×50%。
专科综合分以450分为满分计算:综合分=考生总分×50%+专业分×4.5×50%。
拓展阅读:艺术高考文化课的复习方法
1.复习前进行自查,找出自己的薄弱科目,集中精力辅导
艺术类学生的复习时间不同于普通文化类学生。由于专业课程的学习,艺术类学生在文化课程复习上浪费了大量的时间,不能像普通文化类学生那样进行系统全面的复习。因此,在这个时候,艺术类学生在复习之前需要了解他们目前的文化课程表现,对于你擅长的科目,你可以少花时间,安排时间每天巩固复习。对于薄弱科目,你应该制定一个计划,找出薄弱科目的重点、难点和考点,并对重点和考点进行更多的练习。对于困难,可以适当放弃一些以保证基本考点的成功率,因为艺术类学生对文化课程的分数要求相对较低,只要保证基本知识考点的成功率较高,他们也可以取得较好的成绩。
2.熟悉目标大学文化课程要求的目标学习
每个艺术考生心中都有自己的目标大学。许多考生的专业培训也是针对目标学院的。因此,在文化课程的学习中也应该有针对性。不仅要了解目标院校近年来文化课程的分数线走向,还要了解院校对本专业个别科目的要求,如部分院校个别专业将对英语、汉语、英语等设置最低限度的限制,因此,考生在复习文化课时,可以更加努力地学习这些科目,提前准备考试,并采取主动。
3.在准备阶段调整心态
在短跑文化课阶段,心态非常重要。有些考生通常有很好的考试成绩,但当他们来参加考试时,他们往往表现很差,因为他们的不良心态。因此,在备考过程中,我们应该把心态的调整提上议事日程,以轻松的心态备考文化课,轻松地走进考场!
推荐阅读:
毛利率是计算商品销售成本的方法之一,那么毛利率计算法是怎样的呢?下面是由留学群编辑为大家整理的“毛利计算公式是什么 计算毛利率的方法有哪些”,仅供参考,欢迎大家阅读本文。
毛利率计算公式
“毛利率”的概念是建立在“毛利”概念的基础之上的。毛利是“净利”的对称,又称“商品进销差价”,是商品销售收入减去商品进价后的余额。
某特定时期内的净利/纯利=该时期内的毛利-该时期内发生的相关支出(包括折旧)
毛利率=(销售收入-销售成本)/销售收入×100%
毛利润的计算公式如下:第一,毛利率=(不含税售价-不含税进价)/不含税售价×100%;第二,毛利率=(1-不含税进价/不含税售价)×100%。
拓展阅读:毛利率基本介绍
可以简化各月成本计算工作,但应注意:
(1) 上季实际或本季计划毛利率并不就是本季或计算期实际毛利率,因而计算结果并不准确。
(2) 全部商品综合毛利率受到不同商品毛利率影响因素较多,故在实际工作中一般是用大类商品毛利率计算各类商品销售成本。
(3) 由于毛利率计算法求得的结果不够准确,因而实际工作中只在每季第一、二两月使用,季末采用“分批实际进价法”、“加权平均法”和“最后进价法”等方法,计算出全季商品销售成本,扣减本季第一、二两月商品销售成本,倒算出第三个月商品销售成本,以保证全季商品销售成本的正确性。
推荐阅读:
...
方差在数学中是一个比较重要的概念,在平常的考试中也经常会看到。下面是由留学群编辑为大家整理的“方差计算公式是什么 该怎么计算”,仅供参考,欢迎大家阅读本文。
方差的定义和公式
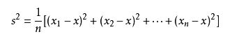
设一组数据x1,x2,x3……xn中,各组数据与它们的平均数x的差的平方分别是(x1-x)2,(x2-x)2……(xn-x)2,那么就可以用他们的平均数对其进行衡量,公式为

该公式主要用来衡量这组数据的波动大小,并把它叫做这组数据的方差。为了简便我们也可以将其记做
(其中x为该组数据的平均值)
如果一组数据的方差越小,那么就证明该组数据的稳定性较高。
方差求法
1,先求出一组数据的平均数;
2,代入方差公式进行计算。(用每一个具体的数据减去平均数得到的差的平方的和去除以数据的总个数)。
举例:设这组数据:x1、x2、x3、……、xn的平均数是M,先求出M,然后代入方差的公式就可以了:
s²=[(x1-M)²+(x2-M)²+(x3-M)²+……+(xn-M)²]÷n
拓展阅读:学好数学的方法
1.功在平时,学会总结:多做题,总结题型
考试时技巧重要,但是考试总要有平时的积累做铺垫的吧?数学的学平时最主要的就在于掌握知识点,多做类型题,用题目来巩固知识点,要学会用一道题型掌握一类题型。这样既节省时间,又能够灵活自如应对考试中千变万化的数学题型。
比如说数列求和部分:也就那么几个方法,构造等差等比、裂项求和、错位相减、倒序相加。有时候拿到一个题目你知道这样做,但是你不一定知道为什么要这样做,你知道这个套路就可以了。
2.考试时对试卷的把控:学会宏观把握
对于高考数学来说,大部分地区的试卷结构依次是选择题、填空题、大题。所以要根据自己实际掌握的情况,进行一个简单的分析,先易后难,把自己最有把握拿到的分拿到,那种特别难的最后再看。通过真题训练,你需要知道:选择题前几道是比较简单的,会考集合、复数、算法等(举例,仅限于个别地区试卷);从第几道题开始是比较难的,一般会考什么...
12-13
提高公司净资产的增长率,这样才能向投资者表明自己公司能够带来高的收益。下面是由留学群编辑为大家整理的“净资产增长率计算公式是什么 该如何计算”,仅供参考,欢迎大家阅读本文。
净资产增长率计算公式
净资产增长率=[(期末净资产-期初净资产)/期初净资产]×100%
净资产增长率是指企业本期净资产总额与上期净资产总额的比率。净资产增长率反映了企业资本规模的扩张速度,是衡量企业总量规模变动和成长状况的重要指标。
在新的企业会计准则下,建议将净资产增长率公式改为:净资产增长率=(期末扣除其他资本公积的净资产÷期初扣除其他资本公积的净资产-1)×100%。
净资产收益率又称股东权益收益率,是净利润与平均股东权益的百分比,是公司税后利润除以净资产得到的百分比率,该指标反映股东权益的收益水平,用以衡量公司运用自有资本的效率。指标值越高,说明投资带来的收益越高。
净资产增长率怎样计算
净资产收益率-增长率的计算公式:
净资产收益率-增长率
=(本期净资产收益率-上年同期净资产收益率)*100/ABS(上年同期净资产收益率)
=(本期净利润/本期股东权益-上年同期净利润/上年同期股东权益)*100/ABS(上年同期净利润/上年同期股东权益)
注:上年同期净资产收益率为负数,而本年为正数,则净资产收益率增长率将相当高。
净资产收益率:
净资产收益率等于净利润/平均净资产*100%,表示企业的投资收益水平。
净资产增长率:
较高的盈利能力是企业能够生存和发展的最根本基础,净资产收益率更为核心。
拓展阅读:如何提高净资产增长率
1、在业务流程中,企业应考虑提高净销售利率,即=净利润/收入;
2、企业要增加产品销量,降低成本,但企业不能盲目扩大生产规模,而是要实现可持续增长,这就需要将企业的实际增长率与可持续增长率进行比较;
3、在税收方面,从公式中可以看出,所得税与净资产的收益率成反比。如果所得税增加,利润就会减少。因此,企业要做好税收筹划,这样更有利于企业的健康发展;
4、就资金管理而言,必须加快总资产周转率,即收入/总资产周转率,这需要对企业的销售收入进行分析;
5、流动资产与非流动资产的比例是否合理。对于长期投资,应事先进行可行性分析。主要参考指标有投资收益率、平均收益率、净现值、利润指数、内部收益率;短期投资应注意防止资金的沉淀和流失,如确定合理的储量、加强日常管理;
6、在融资方面,净资产的收益率也与权益乘数指数有关,权益乘数是权益资本与总资产的倒数。
...计算公式推荐访问