留学群专题频道雅思报名时间栏目,提供与雅思报名时间相关的所有资讯,希望我们所做的能让您感到满意!
雅思考试是全球范围内最受欢迎的英语语言能力评估测试之一。每年有数百万的考生报名参加这项考试。考试报名人数众多,如果错过报名时间,将会耽误考试机会。有关雅思考试报名时间的准确信息对于考生非常重要。本文将详细介绍雅思考试报名时间的相关信息,以帮助考生更好地准备自己的考试计划。
一、雅思考试报名时间概述
雅思考试有多个考试日期,考生可以根据自己的计划和需要选择不同的考试日期。在中国大陆地区,雅思考试报名分为在线报名和邮寄报名两种方式。在线报名的方式是最常用和最方便的报名方式。邮寄报名需要考生下载并填写相关申请表格,并通过国际快递寄出申请材料。
二、雅思考试报名时间详情
1. 雅思考试2021年报名时间
由于疫情原因,2021年雅思考试的考试时间受到了较大影响。具体考试时间和报名时间会根据各地疫情情况灵活调整,考生需要关注每一次考试的具体时间,并及时参加报名。
2. 雅思考试2022年报名时间
2022年雅思考试的具体时间和报名时间还未确定。一般来说,由于全球雅思考试日期不同,具体考试日期和报名时间也会因国家和地区而异。学生应该注重关注官方网站,以获取最新的考试日期和报名时间信息。
三、雅思考试报名流程
雅思考试报名流程非常简单,并且在报名过程中也能得到网站的指导帮助。以下是一些基本流程:
第一步:在官方网站上注册雅思考试账户。
第二步:选择您所在的考试城市和考试日期。
第三步:填写基本个人信息,如姓名,出生日期,性别和国籍等。
第四步:支付报名费用。雅思考试的报名费用因国家和地区而异,具体费用请到官方网站查看。
第五步:上传一张证件照。
第六步:领取参加考试的入场卷和其他有关考试的信息。
四、雅思考试报名常见问题解答
1. 雅思考试报名是否需要支付报名费用?
是的,符合条件报考雅思考试的考生都需要支付一定的报名费用。具体的费用标准可能因国家和地区的不同而有所不同。
2. 是否可以更改考试日期?
在报名截止日期之前是可以更改考试日期的。如果考生需要更改时间,请通过官方网站或雅思考试中心与工作人员进行联系。
3. 是否可以取消考试?
考生可以退费取消考试,但需要注意,取消应在报名截止日期或考试日期之前进行。如果考生在报名截止日期或考试日期之后才取消考试,则无法退款。
4. 雅思考试报名需要哪些材料?
通过官方网站或雅思考试中心报名的考生只需提交一张证件照即可完成报名流程。
5. 雅思考试报名需要提前多久?
建议考生至少提前6周进行报名。这个时间足够参加考试并领取相关资料。
总之,雅思考试是全球最受欢迎的英语语言能力评估测试之一。考生需要了解相关的报名流程和时间安排,以便及时完成报名并顺利参加考试。建议考生在报名时仔细阅读有关政策和说明,从而避免不必要的麻烦和误解。
...
雅思考试是全球范围内最受欢迎的英语语言能力考试之一。随着全球范围内英语语言需求的增加,许多人希望参加雅思考试来证明他们的英语水平。因此,了解雅思考试报名时间和最新政策对于准备参加考试的国际学生非常重要。本篇文章将解释雅思考试的最新政策和报名时间,以便想要参加考试的人了解更多有关考试的信息。
一、什么是雅思考试?
雅思考试是英国文化协会(British Council)、剑桥大学考试委员会(Cambridge Assessment)和澳大利亚教育国际合作局(IDP)的合作项目,为测试英语非母语人士的语言能力而设。雅思考试主要用于评判国际学生在英语能力方面的水平,而这种水平可以用于申请海外大学课程或就业岗位等。雅思考试包含四个部分:听、说、读、写;考试时间为2小时45分钟。评分系统是采用9分制,其中9分表示完美水平,1分表示最低的学术水平。
二、最新政策
1. 取消笔试考试
因全球性的COVID-19大流行病,雅思考试已经取消了笔试考试,改为了线上考试。这种新的考试方式不需要学生前往考试现场,而是在家中或网络上完成考试。
2. 考试时长变化
由于考试方式的改变,雅思的考试时长已经从之前的2小时30分钟变为2小时45分钟。这意味着学生要对更长的时间集中精力,而且也要做好更长时间的考试准备。
3. 线上考试的技术要求
由于新的线上考试方式,考生需要自备电脑或笔记本电脑,并安装好考试所需的软件和网络,以确保在线考试的顺利进行。
4. 雅思考试分数有效期变化
考生需要注意的一点是,由于新的政策,雅思考试分数的有效期限已经发生了变化。现在考生的分数有效期限将缩短至两年。因此,考生在考试前要仔细考虑,而且保持好考试的最佳状态。
三、报名时间
1. 在线报名
考生可以通过英国文化协会官方网站或IDP教育官方网站进行在线报名。考试时间一般会提前到一个月左右公布,考生可以在预定考试时间后做好考试准备,而报名时要提供以下信息:
- 姓名、地址、出生日期、国籍和常用的电子邮件地址等个人信息;
- 可用的考试日期和时间
- 学术考试或一般培训考试中的一个选择;
- 身份证或护照号码等证件信息。
2. 支付考试费用
考试费用将在报名时收取,考生可以通过在线支付系统(如PayPal)支付考试费用。考试费用因国家或考试项目而异,考生可以通过联络测试中心来确认考试费用及支付方式。
四、结论
雅思考试是任何想要在国际上获得更多机会的人士必须学习和准备的考试。这种考试可以根据个人的英语水平来评定,考生可以根据考试结果来证明自己的英语水平,从而获得更多的机会。在考生准备参加考试时,他们必须遵守最新的政策和报名时间规定。学生可以通过一些在线资源来掌握最新的政策及报名信息,以获得最好的考试结果。
...
2023年度的雅思考试报名信息已经陆续出来,各位想要参加雅思考试的学生一定得时刻注意最新情况,以免错过,痛失考试机会。今天出国留学小编就给大家介绍2023年度雅思报名时间安排及考试最新情况图,如果对这个话题感兴趣的话,欢迎点击留学群。

报名网站将于2022年9月26日上午10点开放2023年1-3月份雅思各类考试报名。具体日期如下:

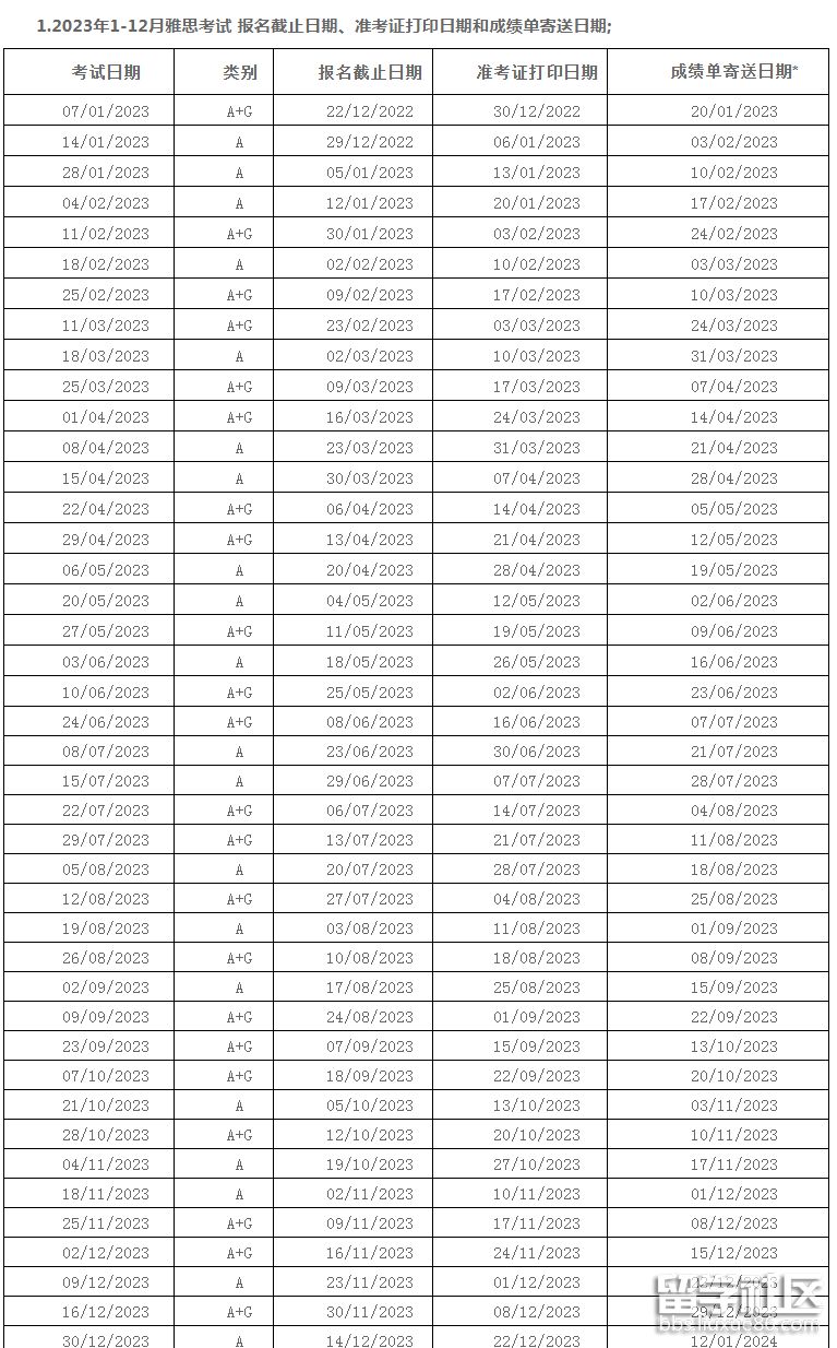
2023年1-12月用于英国签证及移民的雅思考试 报名截止日期、准考证打印日期和成绩单寄送日期;

1、注册用户:
登陆 /, 注册成为网上报名系统用户,务必注意姓名、证件号等个人信息的准确性。牢记并妥善保管NEEA用户名和密码。
2、预约考试费:
根据不同的使用目的,选择相应考试类型并预付相应的考试费用。通过支付宝和首信易支付进行网上付费,付费后系统会及时确认费用到账。
3、预定座位:
选择考点、考试日期和考试类别。每预定一次考位,系统会分配一个雅思考试注册号,并显示在"我的状态"页面,这是享受雅思考试服务的凭据之一。
4、填写报名表:
请在预定考位后30分钟内填写报名表,否则预定无效。仔细阅读考生须知,核对个人信息,特别是姓名、证件号等。
5、确认付费:
确认报名后点击确认支付考费,考试费将从预存账户中扣除。
6、报名成功:
雅思报名网站收到您的付款之后,将给您发送电子邮件确认报名成功。退考或转考须在考试报名截止日期前办理。
7、预定口语考试日期:
09-14
2021年只剩几个月的时间了,出国留学的学生雅思的考试要赶快准备起来,来一起看看考试的时间安排吧。今天就由留学群的小编为大家带来2021年雅思考试时间和报名时间一览表。
1.2021雅思考试时间表
2021年9月14日之后,雅思考试将在官网公布最新的考试时间,并且会在官网公布最新考试日期和地址。如果大家在报名的时候没有参加考试,也不要着急着抢考位。

2.2021雅思考试安排
雅思考试时间表2021,2021年最新雅思考试时间安排表一定要注意,如果没有时间做这件事,建议大家先做几件事:
1)自学,不要盲目自学(不要盲目报班);
2)报班,不要盲目报班,盲目报班,不要盲目自学,不要盲目自学,不要盲目报班!(适用于不同类型,需要自学或考试的同学,适合不同类型,不适合你自学的同学;适合不同类型的烤鸭,不适合报班的同学);
3 )报班的问题,不是一定需要报班,但不是每个人的情况都是不一样的。所以我们要明白,自学是一个需要长期持续时间的过程,需要长期积累和持续的进行学习的过程,需要长期的自律性和自信性,需要长期的坚持。
3.雅思考试建议
雅思考试前必看建议1、那总是被遗忘的“三证”
考生们应该清楚有三样东西必须要提前装进书包。因为它们是考试时比较关键的东西:准考证、身份证以及护照照片(照片后面写上你的信息)。若你报名时填写的是护照,如此便要带的就是准考证、护照、护照照片。
尽管大家都清楚这三样很关键,但真的到了考试时,却还是有人遗忘的。尤其要提醒雅思考试的官方网站也许会有打不开的情况出现,因此准考证必须要提前打出来。通常建议打印两张,准考证上是没有考号的,怕忘了便将考号写在准考证上面。若真的不幸前一天突然打不开网站了,不要着急,到考场后你的桌子上有个口语考试卡,上面都是你的信息。
雅思考试前必看建议2、关于进场后的仪器控制
经常有学生提出可否戴手表之类的。事实上雅思考试的严密程度,与中国高考相比要好一些。手表肯定是能戴的,但别戴功能太过复杂的。若是让监考老师觉得你这块手表“信息量很大”,那便要引起警戒了。当然考场前面的黑板上面有一个大钟表,监考老师一般按照那个来划定考试时间,所以没带也没关系。
雅思考试前必看建议3、学会照顾自己,合理利用时间
雅思考试是一场耐力战,一定要先将自己的身体状况调整好,考试中学会照顾自己也是十分关键的。先前一天晚上必须要睡好。这个时候...
有越来越多的国家接受雅思成绩,出国留学的学生很多都想要报考雅思,那么雅思考试需要提前多久报名呢?留学群下面为大家详细的介绍一下相关的信息。
一、雅思考试报名时间
中国大陆地区所有考生均须在网上完成IELTS报名,报名过程中有任何疑问或需要技术支持,可致电全国服务热线寻求帮助。IELTS报名为全年开放式,考试安排公布后即可报名。正常情况下,雅思考试报名的截止时间是考试前12个工作日(不包含周六、周日),非正常情况下(是指遇到国内的法定节假日),雅思考试的报名截止时间都会有相应的调整。但是由于每个考场考试名额是有限的,很多情况下,没有到考试报名的截止时间,考试的名额已经报满,所以小编建议大家如确定考试时间尽早报名,一般需要提前1-2个月左右为宜。
二、雅思考试建议时间
1、口语考试,拒绝换题季
雅思的口语考试每4个月更换一次题库,每季分别是1-4月,5-9月,10-12月。每年的1、5、9月是雅思口语的换题季,因此在这三个月份的第一场雅思口试甚至到第三场都还在出现新题,幅度通常为:剔除上一季度30%左右的旧题同时加入30%左右的轮换新题。
2、选择相对宽裕的时间
雅思考试需要大量的时间和充足的精力来复习,考试尽量不要安排在与其他考试或工作重合的时间,尽量安排在假期、空闲的周末等相对充裕的时间来进行。这样,考试可以在一个相对放松的环境下进行。
3、年底不建议报考
对于要出国留学的同学来说不是一个很好的选择,年底的考试结果出来的相对会慢一些,如果对成绩有疑问要复议的话,也会比较慢,所以对于想早一点完成出国准备的同学,考试的时间可以尽量早一点。
三、雅思复习方法
1、听力:
单词要不断地积累,有了大量的词汇才能做到心中有数。同时,做听写是很有效的一个办法,例如王陆的雅思语料库,用来做单词听写是可以的,可以快速掌握到考试中会经常出现的高频词汇。此外,做每一套真题时要严格按照考试流程来,不回放,不停顿,做完后,总结易错的题型,以及同义词转换,找到原因并吸取经验。
2、阅读:
阅读除了词汇,也要学会找出一些同义词,经常会有单词替换。而且雅思阅读一个小时还是有些紧张的,所以每篇文章都仔细来读可能就没时间做题了,可以先看题,带着问题阅读找到相关的内容在附近寻找有无答案,做完一套题还要记得给自己打分,给每一阶段制定合理的目标分数,可以稍微高一些,激励自己努力复习,做题的时候要放松心态,不能太紧张,平常心去面对即可。
3、写作:
雅思写作对于大部分学生来说是比较难的部分,需要好好做准备,一些专业还特别对写作有小分要求。相比大作文,小作文的题型比较固定,主要就几种类型,刚开始可以先认真研读甚至背几篇真题后面的范文,熟悉各个图里的常用词汇、搭配,如下降、上升等,包括地图题、流程题,掌握不同的表达方式,善用各类句型,尽量使语言不重复。每一类都至少精读一篇,分析文章的优点,但不要盲目背记。
4、口语:
雅思口语...
雅思考试作为很重要的英语考试之一,很多想要出国留学的同学都需要参加雅思考试,雅思考试的报名时间以及费用,大家可以来留学群详细的了解一下。
一、雅思考试报名时间

二、雅思考试报名费用
1.雅思考试费(含税金额):2170元。
2.用于英国签证及移民的雅思考试费(含税金额):2220元。
3.雅思生活技能类考试报名费:1350元。
4.雅思考试转考费:420元。
5.雅思考试退考费:420元。
6.雅思考试成绩复议费:1400元。
三、雅思考试内容
听力(40分钟)
雅思考试的听力考试分为四个部分,每个部分有10道题目,每道题目算一分。问题的排列顺序和答案在听力材料中出现的顺序保持一致。在播放听力材料过程中,考生会获得阅读问题、写下答案以及检查答案的时间。考生应在播放听力材料的时候把答案写在问卷中。在听力材料播放完毕后考生有10分钟的时间把答案转抄到答卷上。
阅读(60分钟)
学术类:雅思考试阅读(学术类)部分共有三篇文章,考生需要回答40道题目。每一篇文章所需要回答的问题数量并不相同。每一道问题相对应一个分数。文章内容和题目均出现于问卷中。
写作(60分钟)
学术类:
作文一:题目中会给出一些视觉性的信息,如一个或多个互相关联的图表、图解或表格,考生需对这些信息或数据进行描述,文章字数不能少于150字,建议考生用20分钟完成。该部分考察的是考生在图表或表格中选择重要和相关的信息、并对这些信息进行清晰描述的能力。
作文二:题目中会给出一个看法、问题或议题,考生需就此进行论述。根据不同的情况,考生可能需要针对问题提出解决方法、论述和证明一个看法、对比和对照论据或看法、或者评价和反驳一个论点或观点。文章字数不能少于250字,建议考生用40分钟完成。该部分考察的是考生对一个论点进行论述、并提供清晰的论据或举例支持论点的能力。
培训类:
作文一:考生需根据题目中的问题或者事件写一封私人信件,形式可为非正式、半正式或正式。题目包括对一个问题或事件的描述,以及对考生需完成的任务的三点要求。文章字数不能少于150字,建议考生用20分钟完成。考生需提供信息和/或解释一个问题。具体来说,考生需要:咨询和/或提供一般性的事实性信息;表达需求、要求、喜恶等;表达看法或投诉;提出要求、建议等。
作文二:题目中会给出一个看法、论点或某个特定题目的问题,考生需就此提供事实性的信息、概述或提出一个解决方案、论证一个观点、...
对于想要出国读书的学生来说,考雅思是非常有必要的,想要考雅思首先要知道雅思考试的报名时间,下面是留学群分享的2021雅思考试报名时间一览表。
一、2021雅思考试报名时间

二、雅思考试的类型
1、普通雅思考试:申请学位课程(如学士学位、硕士学位)的学生,可继续接受国内53个任意考点的学术类雅思考试成绩,不受指定考点限制。
2、用于签证与移民的雅思考试(IELTS for UK Visas and Immigration):所有英国院校的英语强化课程 (pre-session) 或预科课程 (foundation) 或语言课程(language course)或本科以下课程申请,以及本科、研究生及以上学位。
3、雅思生活技能类考试:
A1 级别:该考试旨在满足英国签证与移民局对于配偶,探亲类签证的申请者证明其英语听说能力的特定需求。
B1级别:该考试旨在满足英国签证与移民局对于入籍,永居类等特定签证的申请者证明其英语听说能力的特定需求。
三、雅思考试当天流程
1、到达考场后的考前准备工作
8:00-8:20 到达考点
你需要做以下两件事:
(1)在张贴的名单上找到自己的名字,并参照身份证件号码,与准考证核对,确认自己的笔试考场号。
(2)出示准考证,听从考试中心工作人员的指引到候考室候考,并将个人物品置放在指定的区域。
8:20-8:30 进入考场
你需要做以下3件事:
(1)准备好报名时使用的身份证件;
(2)参加现场照相并进行指纹采集/验证;
(3)接受非透视式电子扫描,获知座位号。
8:30-9:00 就坐,考前准备
你需要做以下几件事:
(1)根据桌卡找到座位后就座,并核对桌卡上的个人信息和考试安排。
(2)工作人员会将你的身份证暂时集中收起进行查验,并在笔试结束前归还。
(3)监考人员发放听力与阅读答题纸,你需要根据监考人员的指示进行填写。
(4)根据监考人员的指示测试耳机,如有任何问题请及时举手示意。
注意:大家一定要在8:30 前到达考场,记得提前安排好早餐,保证体力。
2、笔试进行中的时间安排
雅思考试分为纸笔考试和机考...
想要出国留学,雅思是很多国家必须要的一项语言成绩,想要参加雅思考试,先要了解雅思考试的时间,下面留学群为大家分享2021年雅思考试的时间表,来看看吧!
一、2021年雅思考试时间

二、雅思考试报名
报名流程:这要是参加在中国大陆地区所举办的雅思考试的考生,登录教育部考试中心雅思考试报名网站,进行报名和付费,在报名成功之后,在该场考试报名截止日期的前两天,学校登录教育部考试中心雅思考试报名网站,然后根据自己的需求来选择已经开放的雅思口语考试时间。
报名费用:普通学术类雅思考试报名的费用是2020元。用于英国签证以及移民的雅思考试报名费用是2070元。
雅思生活技能类考试报名费用是1550元。转考费用是420元,退考费用是420元。雅思成绩复议服务的费用调整为1400元。
三、雅思考试当天流程
笔试部分:
到达考试中心:
1. 上午8:00 前到达考试中心。
2. 在考场张贴的名单上找到自己的名字,记住自己的考场号。
3. 听从考试中心工作人员的指挥到候考室候考,并将您的私人物品存放在指定的区域。
请注意:8:30 停止进场。迟到的考生将被取消参加笔试的资格,并不得转考、退考。
或退费。笔试迟到的考生有权利选择参加口语考试。
笔试前准备:
1. 进入考场后,监考人员将宣读考试注意事项。
2. 考生的身份证会被暂时集中收起,并在笔试结束前归还。
3. 监考人员发放听力与阅读答题纸,请根据监考人员指示进行填写。(考试答题纸为一张,两面分别为听力与阅读,请注意区分)
4. 请根据提示测试耳机。
5. 监考人员将会现场拆封并分发听力试卷,指示考生填写姓名与考号。
6. 考试正式开始之前,监考人员会提示考生再次检查耳机。
7. 听力考试录音将会提示考生何时可以打开试卷。在此之前,请勿打开。
笔试进行中:
1. 笔试答题大约将在上午9:00 到12:00 进行。
2. 如果考生需要帮助,请随时举手向监考人员示意。
3. 如果您认为您得到的试卷有误,或是试卷缺页模糊,请马上举手告诉监考人员。
4. 当监考人员要求停笔时,请考生马上停笔并放下铅笔和橡皮。否则将会被视为违...
想要在2021年考雅思的同学,除了做好充足的备考之外,还需要了解雅思考试报名的时间以及考试的时间,留学群这里有一份详细的雅思考试相关时间,来看看吧!
一、2021年雅思报名时间和考试时间

二、2021年雅思考试费用明细
1.雅思考试费(含税金额):2170元;
2.用于英国签证及移民的雅思考试费(含税金额):2220元;
3.雅思生活技能类考试报名费:1350元;
4.雅思考试转考费:420元;
5.雅思考试退考费:420元;
6.雅思考试成绩复议费:1400元。
三、雅思考试报名流程
第一步:注册成为教育部考试中心网上报名系统用户
如果你从未使用过教育部考试中心IELTS考试网上报名系统,你必须先注册成为用户。完成这一步,你需要提供基本的个人资料如:姓名、身份证明号码、邮寄 地址、电话号码和电子信箱地址。当你提交了所需要的资料之后,你将得到教育部考试中心报名系统分配给你的一个NEEA用户号(NEEA user ID)号码。在注册之前,你将看到网上报名协议,它为网上报名系统用户设定了相应的条款。你必须点击同意按钮,同意遵守这些条款,否则,系统将不允许你进行注册。当你成功注册 成为系统用户后,系统将向你的电子邮箱发送一封确认邮件。
第二步:预存考试费
IELTS报名流程规定考生须支付足额考费后方可选择考位。注册成为NEEA用户后,每次进入“我的状态”页面,系统将显示考生付费状态,考生可以查看考位情 况。同时,考生还可以看到付款链接。点击付款链接会引导你完成付费手续。
第三步:选择考位
当你成功将考试费预存到你在教育部考试中心网上报名系统的账户之后,“我的状态”页面会显示你的帐户余额。只有当余额大于等于考费后考生才可以选择考位。
点击选择考位,你将看到上面有报名时间所对应的考试日期的页面及“学术类”或/和“培训类”的按钮。点击“学术类”或“培训类”按钮你就可以预定座位。如果无法点击按钮,则意味着这个类别已经报满或者不举办相应类别的IELTS考试。请注意:在报名截止日之前,先前已无法点击的按钮有可能因其它考生取消预 定而被重新激活。建议经常来此页面查看。
在点击“学术类”或“培训类”按钮之后,就完成了选择考位,“我的状态”页面中即可显示目前状态的信息,这些信息包括 IELT...
七月的雅思考试已经可以报名了,那么时间该怎样安排呢?来和留学群看一看2020年7月25日雅思考试报名时间及入口(7月6日截止)。
报考日程

报考流程详解
您必须按顺序完成每一步骤。在您完成所有报考步骤后,您的报考申请才会被确认。考试的报名、转考和退考必须在雅思考试报名截止日期前完成。由于考位有限,我们建议您至少提前两个月报名,以保证有充足考位。您可以登录雅思考试报名网站的"考位查询"页面查询全国各雅思考点的考试时间安排和考位情况。
登录雅思官网,注册成为教育部考试中心网上报名系统用户,务必注意姓名、证件号等个人信息的准确性。牢记并妥善保管NEEA用户名和密码。
根据不同的使用目的,选择相应考试类型并预付相应的考试费用。通过支付宝和首信易支付进行网上付费,付费后系统会及时确认费用到账。
选择考点、考试日期和考试类别。每预定一次考位,系统会分配一个雅思考试注册号,并显示在"我的状态"页面,这是享受雅思考试服务的凭据之一。
请在预定考位后30分钟内填写报名表,否则预定无效。仔细阅读考生须知,核对个人信息,特别是姓名、证件号等。
确认报名后点击确认支付考费,考试费将从预存账户中扣除。
教育部考试中心雅思报名网站收到您的付款之后,将给您发送电子邮件确认报名成功。退考或转考须在考试报名截止日期前办理。
成功报名雅思考试后,您可在该场考试报名截止日期前两天,登录教育部考试中心雅思考试报名网站"查看已注册考试"页面预定口语考试时间。
通过"我的主页"页面上的链接,马上使用"雅思之路"免费官方在线备考课程。
笔试日期10天前(从2015年2月7日考试起实施),您将以电子邮件形式收到准考证打印通知,请通过...
雅思报名时间推荐访问