留学群专题频道中考成绩分段表栏目,提供与中考成绩分段表相关的所有资讯,希望我们所做的能让您感到满意!
07-14
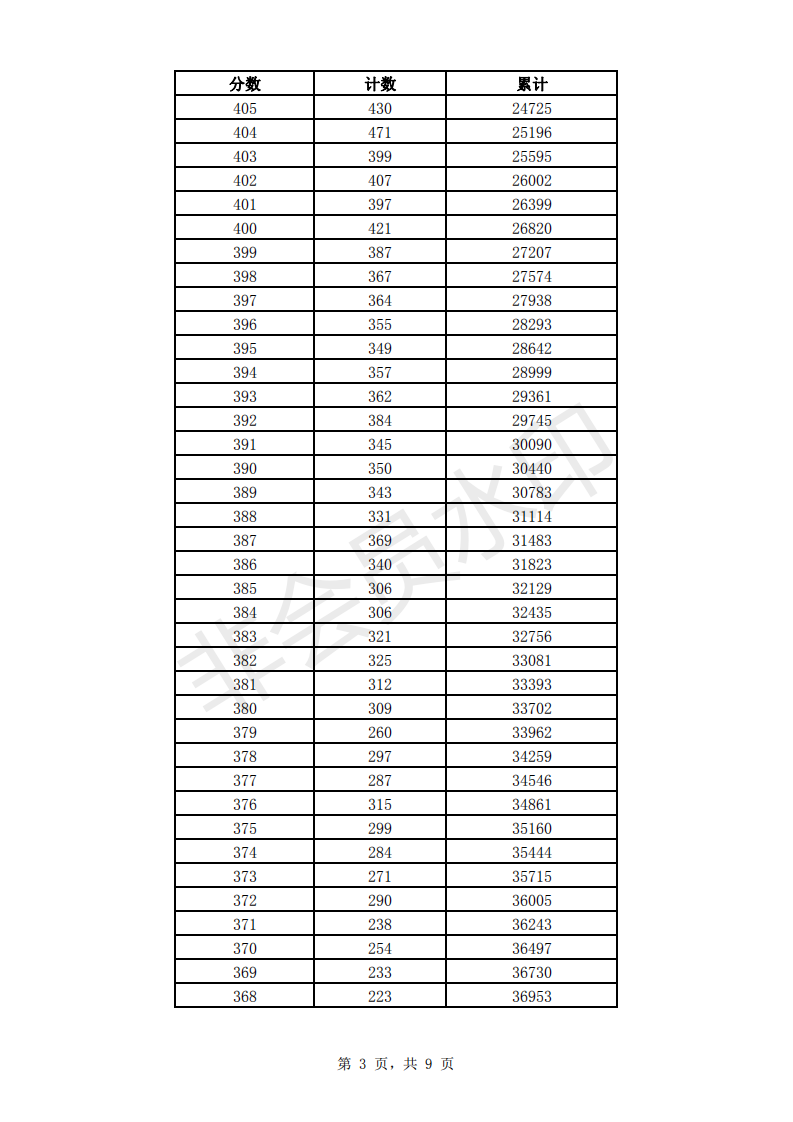
福州市教育局于7月14日上午公布了福州市2022年六区的中考成绩统计表,详细表格小编已经放在下面了,还在查找此相关资讯的朋友们,快来仔细阅读此文本吧!其他更多中考资讯,请持续关注留学群。


来源:福州市教育局
推荐阅读:
07-14
南宁的家长和小伙伴们是不是还在焦急的等待中考成绩放榜呢?官方宣布2022年南宁中考成绩已经发布,具体情况和信息小编已经整理在下文中,请各位家长和小伙伴们查阅!欢迎大家阅读本文,关注本站即可获取更多精彩资讯!
【中考大数据】
52654万人参加考试
今年南宁市区参加中考的考生人数为52654人,所有考生的成绩均以等级形式呈现,其中总成绩全A+:107人;总成绩A+及以上:2796人;总成绩A及以上:8435人;总成绩B+及以上:18450人。
排3842位前,竞争二、三中几率大
今年南宁市区普通高中计划招收新生34361人,其中南宁二中、三中(含青山校区和五象校区)计划招生为3888人(南宁二中凤岭校区招生1512人,南宁三中青山校区招生1080人,南宁三中五象校区招生1296人)。从各成绩段人数的情况看,排在3842位,中考总成绩为(A),科目组合为:1A+4A1B以上的考生,竞争二中、三中几率大。(如果你是地段生,名次在此排名之外,也未必落选,按50%地段生定向分配比例,仍有在本校地段生中争夺上二三中的机会。)
排11322位前,竞争12所示范性高中几率大
含一中、二中、三中、四中、八中、十四中、三十三中在内的12所市区内自治区示范性普通高中招生计划为11880人。因此,排在11322位,总成绩(B+),科目组合1A5B+以上的考生,竞争12所示范性高中几率大。(如果你是地段生,名次在此排名之外,也未必落选,按50%地段生定向分配比例,仍有在本校地段生中争夺上自治区示范性高中的机会。)

07-14
最新中考资讯,来宾教育部于7月13日公布了来宾市2022年中考成绩C等级以上成绩分段表,查询到成绩的来宾考生来看看你排在第几位吧!更多考试热点资讯,请持续关注留学群,小编将为你实时更新。
2022年来宾市中考C等以上成绩等级统计表



推荐阅读:
...07-25
中考成绩成绩出来了,来看看自己的分数能够排在总分段的哪里,下面由留学群小编为你精心准备了“2019年宁夏固原市区中考443分及以上人数分段表”,持续关注本站将可以持续获取更多的中考资讯!
2019年宁夏固原市区中考443分及以上人数分段表
2019年宁夏固原市区中考443分及以上人数分段表已公布,具体详情如下:

推荐阅读:
...07-03
中考成绩分段出来了,快来看看自己的成绩水平在那个分段阶层,下面由留学群小编为你精心准备了“2019年四川成都龙泉驿区中考成绩分段表”,持续关注本站将可以持续获取更多的中考资讯!
2019年四川成都龙泉驿区中考成绩分段表



推荐阅读:
06-29
中考成绩分段出来了,快来看看自己的成绩水平在那个分段阶层,下面由留学群小编为你精心准备了“2019年济南市中考成绩一分一段表”,持续关注本站将可以持续获取更多的中考资讯!
2019年济南市中考成绩一分一段表
2019年济南市中考成绩一分一段表出炉啦,具体详情如下所示:









绍兴中考成绩已公布!留学群中考网为大家提供2018绍兴市区中考成绩分段表,更多中考资讯请关注我们网站的更新!
2018绍兴市区中考成绩分段表
依据中考成绩总分2(文化+体育,不区分同分)。市区(越城区、柯桥区、上虞区)考生总数16096人,其中:
| 分数段 | 分段人数 | 累计人数 |
| 680 分及以上 | 2162 | 2162 |
| 670——679 | 944 | 3106 |
| 660——669 | 1015 | 4121 |
| 650——659 | 984 | 5105 |
| 640——649 | 949 | 6054 |
| 630——639 | 989 | 7043 |
| 620——629 | 821 | 7864 |
| 610——619 | 808 | 8672 |
| 600——609 | 778 | 9450 |
| 590——599 | 649 | 10099 |
(2018年6月22日上午11时发布)
小编精心为您推荐:
中考成绩分段表推荐访问