留学群专题频道贵州成人高考免试生资格审查公示栏目,提供与贵州成人高考免试生资格审查公示相关的所有资讯,希望我们所做的能让您感到满意!
01-19
关于贵州省2022年成人高考免试生资格审查结果已经公示出来了,详细的资格审查结果名单已整理如下,贵州考生来看看吧!下面是留学群整理的“贵州省2022年成人高校考试招生免试生资格审查公示”,欢迎大家参考阅读。
根据《省招生委员会关于做好2022年成人高校考试招生工作的通知》(黔招委〔2022〕22号)要求,我省2022年成人高校考试招生免试生资格审查工作已结束,现将审查合格考生予以公示。
公示期内,如对公示考生信息有不同意见,可以电话、信函等形式向我们反映(信函以到达日邮戳为准)。反映情况须客观真实,以单位名义反映情况的材料需加盖单位公章,以个人名义反映情况的材料需署实名并提供有效联系方式。
公示时间:2022年10月18日至2022年10月24日(五个工作日)。
举报电话:0851—85952927
通讯地址:贵州省贵阳市观山湖区石标路240号省招生考试院保密监察室,邮编:550081。
贵州省2022年成人高校考试招生免试生资格审查公示




12-20
关于贵州省2022年成人高考招生免试生的资格审查名单已经公示出来了,详细的免试生资格审查名单已整理如下,下面是留学群整理的“贵州省2022年成人高校考试招生免试生资格审查公示”,供贵州考生参考阅读。
根据《省招生委员会关于做好2022年成人高校考试招生工作的通知》(黔招委〔2022〕22号)要求,我省2022年成人高校考试招生免试生资格审查工作已结束,现将审查合格考生予以公示。
公示期内,如对公示考生信息有不同意见,可以电话、信函等形式向我们反映(信函以到达日邮戳为准)。反映情况须客观真实,以单位名义反映情况的材料需加盖单位公章,以个人名义反映情况的材料需署实名并提供有效联系方式。
公示时间:2022年10月18日至2022年10月24日(五个工作日)。
举报电话:0851—85952927
通讯地址:贵州省贵阳市观山湖区石标路240号省招生考试院保密监察室,邮编:550081。





10-19
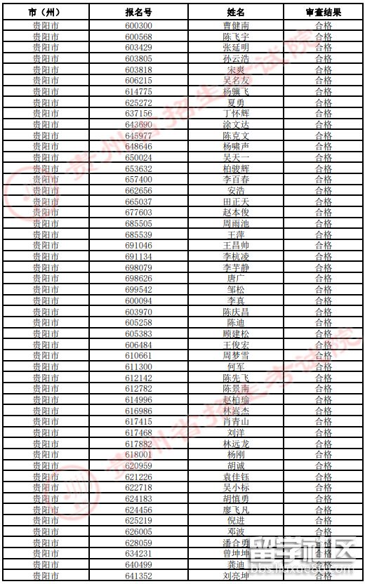
贵州省关于2022年成人高校考试招生的免试生资格审查名单已经出来了,详细的免试生资格审查名单如下,感兴趣的来看看吧!下面是留学群整理的“贵州省2022年成人高校考试招生免试生资格审查公示”,欢迎大家参考阅读。
贵州省2022年成人高校考试招生免试生资格审查公示
根据《省招生委员会关于做好2022年成人高校考试招生工作的通知》(黔招委〔2022〕22号)要求,我省2022年成人高校考试招生免试生资格审查工作已结束,现将审查合格考生予以公示。
公示期内,如对公示考生信息有不同意见,可以电话、信函等形式向我们反映(信函以到达日邮戳为准)。反映情况须客观真实,以单位名义反映情况的材料需加盖单位公章,以个人名义反映情况的材料需署实名并提供有效联系方式。
公示时间:2022年10月18日至2022年10月24日(五个工作日)。
举报电话:0851—85952927
通讯地址:贵州省贵阳市观山湖区石标路240号省招生考试院保密监察室,邮编:550081。


2017年的成人高考报名即将开始,留学群为大家提供“2017年宁夏成人高考免试生申请审批表格式”供广大考生参考,希望可以帮到广大考生,更多资讯请关注我们网站的更新。
2017年宁夏成人高考免试生申请审批表格式
《2017年宁夏成人高校招生免试考生申请审批表》
姓名 |
08-30
2011年08月30日 01时02分,《考试网:北京2011年成人高考免试生报名时间 8月29》由留学群liuxuequn.com编辑整理.
记者从北京教育考试院获悉,北京成招普通考生的网报结束后,将开始为期2天的免试生网报。全国劳模、优秀运动员等享受免试入学政策的考生,要在8月29日、30日的报名时间内登录北京教育考试院网站(www.bjeea.cn或www.bjeea.edu.cn)报名。
北京教育考试院成招办负责人介绍,考生参加成人高考时,如果符合相关条件,根据规定可享受免试入学的优惠政策。和普通考生一样,这些免试生也要先到北京教育考试院网站报名。
符合免试入学条件的考生,要详细了解相关规定和手续,提前准备好证明材料。在参加网上报名前,这些免试生要已与所报考的院校联系,确认学校是否招收免试生,并由免试生本人向招生院校申请,经招生学校同意、北京教育考试院成招办审核通过后方可报考。如果免试生报考的院校要求加试专业课,免试生还要按学校要求参加加试。
免试生网报成功后,要在9月7日到东城区南区成招办理报名确认手续。确认时要准备好相关证件和材料,包括网报号、本人居民身份证(外地户口的考生还要准备暂住证)。申请专升本层次学习时,要带专科毕业证原件和复印件,全国劳动模范要持劳模证书原件和复印件,优秀运动员要持省级体育行政部门审核的《优秀运动员申请免试进入成人高等学校学习推荐表》(由国家体育总局监制)及成绩证书原件和复印件。所有材料复印件均要求用B5纸。
2011年成考一次过关秘诀!点击查看>>
...
09-30
近日,中国科学院心理研究所发布了《心理所关于2022年推荐免试生录取名单的公示》,小编在此恭喜各位考生顺利通过考试,下面是小编为大家整理的具体的人员名单,可供参考。更多考试相关信心请各位考生继续关注本网站。
根据教育部、中国科学院大学相关文件精神,本着“公平公正、全面衡量、保证质量、宁缺毋滥”的原则,通过对考生面试、政审等综合考核,经心理所招生工作领导小组审核批准,徐逸等6名同学拟被拟录取为心理所推荐免试直博生、蒲婕等29同学被拟录取为心理所推荐免试学术硕士研究生、吴婉瑜等23名同学被拟录取为心理所推荐免试全日制专业硕士研究生。请拟录取考生于10月10日前登录教育部“推免服务系统”报名并在拟录取后确认,不按时登录推免系统报名者,心理所不再为其保留名额。
2022年推免生拟录取结果如下:



推荐阅读:
2017年的成人高考报名即将开始,留学群为大家提供“2017年海南成人高考怎样资格审查”供广大考生参考,希望可以帮到广大考生,更多资讯请关注我们网站的更新。
2017年海南成人高考怎样资格审查
问题:2017年海南成人高考如何进行报考资格审查和材料上报?
回答:2017年海南成人高考报名资格审查和网上报名信息确认工作由各报名点负责,实行“谁审查、谁负责”岗位责任制。
(一)资格审查内容和办法。报名点收集考生交验的材料必须完整、齐全并对其真实、有效情况进行审查,发现不全、不实或无效证件和材料,应当场告知考生及时补充或更正。经告知而未按时补充或更正,且经报名点进一步复查确认为材料不齐不实的不予办理报考手续。
(二)身份证件的审核。识别考生所提交的身份证件是否符合信息采集的要求,采集的信息是否完整、有效。
(三)学历证书的审核
1.高中学历证书,经报名点审核确认并办理报名手续后,由经办人在其复印件上签名存档(高起本5年,高起专3年)备查,其原件退还考生。
2.专科毕业证书、本科结业证书或以上证书,经报名点初审、考生签订《海南省成人高考专升本交验报名学历证书承诺书》后,方可办理报名手续。由经办人在证书复印件上签名连同承诺书存档3年备查,原件退还考生。专升本起点学历证书的终审结果以录取学校在对新生入学复查为准,对以无效的学历证书获取报考和录取资格的,由招生学校按教育部的规定取消其入学资格,并报省考试局备案。
(四)申请免试入学与享受照顾政策加分考生的学历证书和其他证件、证明材料,经报名点初审,由经办人在其复印件上签名后,除申请少数民族加分类只送复印件外,其他类别均应把原件和复印件汇总上送我局。上送我局的材料原件经审核完毕后退回原报名点,由报名点退还考生,复印件由我局成招处存档(高起本5年,高起专和专升本3年)备查。
留学群成人高考频道提醒考生关注成人高考报名、成人高考招生、成人高考考试等信息:
贵州成人高考免试生资格审查公示推荐访问